首页 项目信息 企业采购 > 项目信息 > 企业采购

[询比采购]山西晋缘电力化学清洗中心有限公司2022年10月第3次物资类采购项目(二次)询价公告

发布时间:2022-10-25 17:52 浏览

中经国际招标集团山西有限公司受山西晋缘电力化学清洗中心有限公司委托,对山西晋缘电力化学清洗中心有限公司2022年10月第3次物资类采购项目(二次)进行招标采购,欢迎符合本项目资格条件的报价人参与报价。

一、项目名称山西晋缘电力化学清洗中心有限公司2022年10月第3次物资类采购项目(二次)

二、项目编号ZJGJSX-ZCHW-221003

三、招标范围:

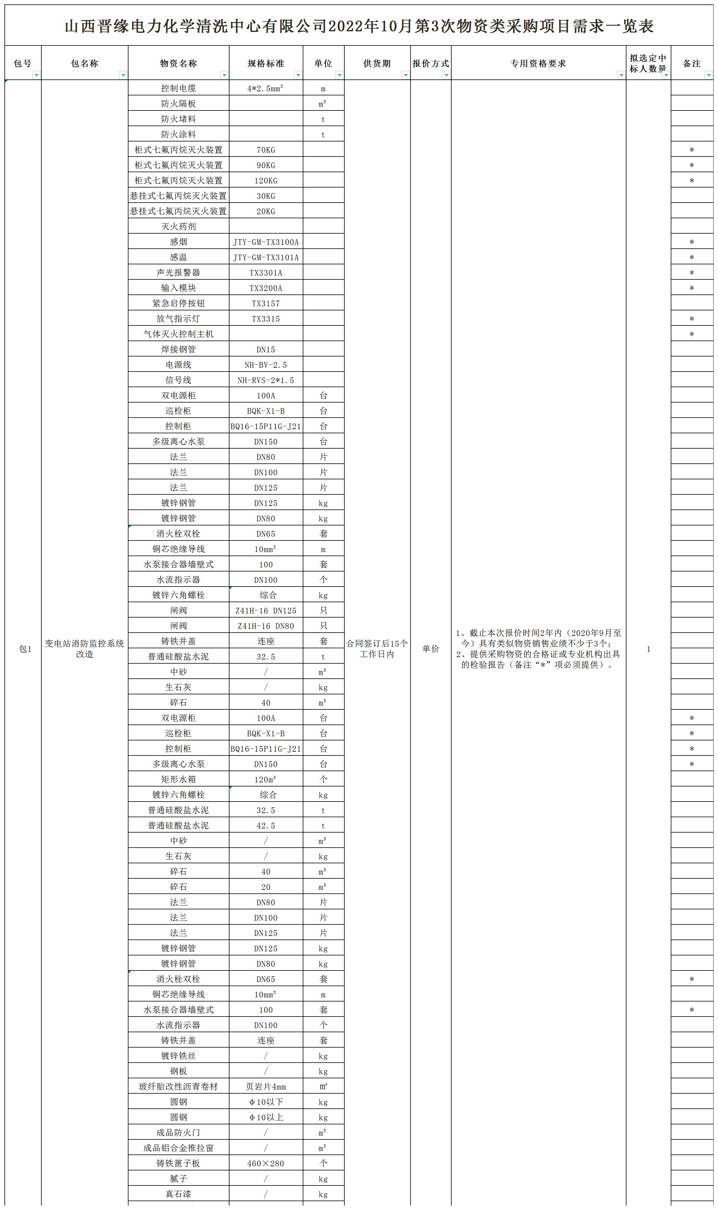
采购具体包号、名称、采购范围、最高限价等具体内容见本公告附件1。

注:设定最高限价的项目,超过最高限价的投标作否决处理。

四、报价人应具备的资格条件:

1、须为中华人民共和国境内依法注册的企业法人或其它组织,具备有效的营业执照及银行开户许可证

2、具有良好的银行资信和商业信誉,没有处于责令停业、财产被接管、冻结、破产状态;

3、报价人应提供:

国家企业信用信息公示系统(http://www.gsxt.gov.cn)上生成的本单位的企业信用信息公示报告(PDF版),报告中应包含“营业执照信息”、“列入经营异常名录信息”和“列入严重违法失信企业名单(黑名单)信息”,报告生成之日为开标日前10日内(投标截止日即为第10日)。未提供PDF版公示报告查询结果或超出投标截止日前10日的,做否决投标处理。

信用中国(www.creditchina.gov.cn)上生成的本单位的信用信息报告(PDF版),报告应包含“失信惩戒信息”,报告生成之日为开标日前10日内(投标截止日即为第10日)。未提供PDF版公示报告查询结果或超出投标截止日前10日的,做否决投标处理。 (“信用中国”查询信息,个体工商户除外)

中国执行信息公开网(http://zxgk.court.gov.cn/)“失信被执行人”查询截图。

不得存在上述异常信息。

4、本项目应具备的专用资格:

报价人须满足相应采购项目的专用资格要求,具体要求见附件1。

5、报价人之间存在关联关系、不同报价人高级管理人员之间存在交叉任职、人员混用或者亲属关系的,不得参加同一项目报价;

6、本项目不接受联合体投标。

五、询价文件的获取

1、询价文件获取时间:20221025日至20221028日(北京时间9:00-17:00,节假日正常工作)。

2、获取方法:通过山西新点交易平台(www.sxxindian.com)在线获取获取采购文件请务必在获取时间内支付文件费,逾期将无法支付并下载文件。

报价人网上流程操作如下:

注册新点平台企业采购交易账号----平台审核通过----平台公告信息在线报名----根据项目公告要求提交报名资料----项目经理审核通过----上传询价文件缴费凭证----财务人员审核通过----支付平台使用费150元----下载询价文件(具体操作参见网站“办事指南”:《报价人报名操作手册》。

3、凡有意参加者,请于询价文件获取时间内,按照下列资料要求顺序进行排列,并加盖公章后整体扫描为pdf格式上传至山西新点交易平台,(如资料不全,采购代理机构将拒绝接收),审核通过后,线上获取询价文件

1)营业执照副本

2)银行基本账户开户许可证

3)国家企业信用信息公示系统上生成的本单位的企业信用信息公示报告

4)信用中国上生成的本单位的信用信息报告“信用中国”查询信息,个体工商户除外)

5)中国执行信息公开网“失信被执行人”查询截图

6银行资信或财务报告2019-2021年经会计师事务所或审计机构审计的年度财务报告包括资产负债表、现金流量表、利润表和财务情况说明书的复印件);若不能提供截止年度经会计师事务所或审计机构审计的年度财务报告,需提供本单位出具的财务状况表不得出现连续三年亏损

7提供采购物资的合格证或专业机构出具的检验报告(备注*”项必须提供)

8)业绩证明材料

9)企业名称如有变更,需提供有关行政机关提供的变更证明文件

注:报价人提供的报名资料需按照公告要求顺序排列,并加盖公章后整体扫描为pdf格式上传,不接受doc、图片形式的报名资料,未按上述要求提交的报名资料一律退回。

3.1上述要求是对潜在报价人的基本要求,如行业及相关部门另有规定的遵循其规定,报价人应提供相应的证明或资信材料。

3.2如果发现存在虚假资料取消其投标/中标资格,并承担相应法律责任,由此造成的后果由报价人自负。

4、询价文件售价:人民币贰佰元整,¥:200元/包 (售后不退)。

六、响应文件递交截止、招标时间及递交方式

1、时间:202211月1日上午9:00(北京时间)

2、递交方式: 登录山西新点交易平台

为确保报名资料及投标文件顺利上传,请各投标人按要求制作完成后,建议在报名截止日/投标截止日前一天内在山西新点交易平台完成文件的上传,避开上传高峰,如未能及时上传或上传不完整或上传文件不能打开造成的后果由报价人承担。

七、公告发布媒介

 本公告在山西新点交易平台(www.sxxindian.com)上发布。

、联系方式

采购单位:山西晋缘电力化学清洗中心有限公司

联系人:崔女士(技术咨询)

电话:0351-7022449

 

采购代理机构:中经国际招标集团山西有限公司

地址:山西省太原市墙路御花园假日广场B座921

联系人:赵女士(招标咨询)

电话:0351-2563882

电子邮箱:zjsxfgs001@126.com

附件:8c5958d0809d7b087fc9d393c38353f.jpg       附件:23c043ddc8e5052b0895644b3d0e3e9.jpg